作者:林俊輝,淡振華,陸嘉飛,丁毅,王瑩,常輝,周廉
1 南京工業大學,江蘇 南京 211816
2 海洋裝備用金屬材料及其應用國家重點實驗室,遼寧 鞍山 114021
由于對陸地資源的過度開采導致環境污染等一系列問題,世界各國紛紛將目光轉向海洋。海洋擁有著豐富的資源,但大多數分布于深海海底,故我國“第十三個五年規劃綱要”提出深海是4個戰略高技術部署的首要方向。然而,海洋是一種天然的極端復雜環境,海水含鹽量高,導電性強且富含微生物,是一種天然的強腐蝕性介質[1,2]。深海環境較之淺層海水環境則更為復雜,其獨特性在于深海的巨大壓力,水深每增加100m,壓力就會增大約1MPa[3]。海洋腐蝕也會對例如深海潛艇、深海空間站等重大深海裝備的服役安全性和穩定性等帶來巨大的威脅。腐蝕每年造成的損失巨大,約世界國家生產總值的3%,海洋腐蝕占據了1/3[4,5]。相較于傳統的鋼等材料,鈦合金作為一種新型合金,盡管發展時間較短,但由于鈦及其合金優異的耐海水腐蝕性、高比強度、高韌性、無磁性等優點被廣泛應用于海工裝備及大型承壓結構裝備,如我國自主研發的“蛟龍號”深潛器。同時鈦合金材質的深海管道耐腐蝕能力強,大大減少維護和修理費用[6]。但鈦合金材質的深海工程裝備在深海中服役時,不僅會受到海水腐蝕,同樣亦受到海水靜水壓力、海水流速、溫度等諸多綜合因素的影響,因而鈦合金的腐蝕行為與淺層海水或常規水溶液腐蝕大為不同[7],所以研究深海獨特的腐蝕環境以及鈦合金在深海環境下特殊的腐蝕行為及機理對于大型深海空間站服役性能評測具有重要意義。此外,鈦合金深海高靜水壓力下會發生高壓壓縮蠕變,從而導致其發生塑性變形以致于破壞設備的結構穩定性,但是目前綜合考慮蠕變和腐蝕雙重因素對鈦合金的性能影響研究還未有報道。
本文主要關注深海腐蝕環境下腐蝕環境特征變化、不同腐蝕模式特征變化及電極反應的特征變化等對于鈦合金材料的影響。綜述了鈦合金在深海環境下的腐蝕特征變化及與其他合金的腐蝕差異性,鈦合金在深海會發生的腐蝕行為,鈦合金在高靜水壓力下的高壓壓縮蠕變行為,同時提出了關于金屬材料腐蝕計算模擬研究現狀及鈦合金腐蝕研究方面的發展趨勢及理論上不足。
1 深海腐蝕環境下鈦合金腐蝕研究現狀
1.1 深海環境腐蝕特征的變化
在深海環境下金屬材料主要受到深海靜水壓力、溶解氧含量、溫度、含鹽度、pH值、流速等諸多因素的影響[7,8]。如圖1所示,隨著海水深度的變化上述主要腐蝕因素均會發生相應變化。Sawant等人[9]通過研究發現不同合金在淺層及深層海洋腐蝕速率不同,合金的腐蝕速率受到了海洋中溶解氧含量的控制,低溶解氧區域鈍化膜的生成及修復能力被削弱。相較于傳統的鐵基合金,鈦及鈦合金在深海環境下不易發生腐蝕[10,11]。隨著海水深度增加,海水溫度會隨之下降,合金反應活性會下降。因此,不考慮其他變化的條件,合金的腐蝕速率會下降。但海水的含鹽度約為3.5%,淺層海洋與深海之間含鹽度的差異微小。但鹽分離子受到海水靜壓作用活度增大,表現出對于鈍化膜較強的攻擊能力,主要通過海水溶液的比電導率以及氯離子對金屬鈍化膜的侵蝕來影響金屬的腐蝕速率。對于pH值,淺層海水由于與空氣進行對流以及植物的光合作用,通常pH值大于8,而隨著深度增加,pH值下降。對于大多數金屬,pH值越低,海水的腐蝕性越強[12]。
深海區別于淺層海洋的最大特點是其巨大的靜水壓力。范林等人[13]研究得出了隨著靜水壓力和預應力的升高,Ni-Cr-Mo-V高強鋼的腐蝕速率增大,表現在點蝕的萌生、發展和合并過程。靜水壓力促進了點蝕微孔的萌生和在表面的隨機分布。胡裕龍等[14]研究常壓至4 MPa靜水壓力交替變化對高強海洋用鋼的腐蝕作用,得出靜水壓力交替作用改變了表面腐蝕產物的界面性能,從而加劇了鋼的腐蝕。劉杰[8]通過模擬深海高壓水環境實驗裝置對2種低合金鋼腐蝕行為進行了研究,得到深海壓力會加速低合金鋼的陽極溶解速度,低合金鋼由低靜水壓力下的均勻腐蝕轉變為局部腐蝕。Beccaria等[15,16]研究了不同的深海靜水壓力對鋁及其合金、AISI300等不銹鋼腐蝕行為的影響,不同的壓力會影響金屬表面形成的腐蝕產物的特性從而影響金屬的腐蝕速率。在深海高靜水壓力下,Cl-的活性較之淺海大大增加,Cl-更易滲入金屬表面的鈍化膜,致使鈍化膜受到破壞,誘發金屬產生點蝕。此外,在高靜水壓力下,離子水合作用困難,金屬表面的離子水合物組成成分比例發生改變。因此,會影響金屬表面腐蝕層的保護性能。靜水壓力會導致純鎳鈍化膜不穩定并且活性增強,降低純鎳鈍化膜形成速度,純鎳在深海環境下更容易發生腐蝕[17-19],此外,高靜水壓力會加速金屬表面涂層失去保護效果,從而使合金受到腐蝕[20]。綜上,可以得出靜水壓力通過促進點蝕萌生、降低金屬表面腐蝕產物的抗腐蝕性能、加速陽極溶解速度、破壞鈍化膜等一系列方式影響金屬的抗腐蝕性能。馬榮耀[21]從熱力學及動力學過程的角度,分析了靜水壓力對金屬、深海環境因子活度、pH值及化學平衡的影響,建立靜水壓力對金屬腐蝕行為作用的理論基礎模型。深海高靜水壓力會對多相合金、焊接組成的金屬構件等造成區域性活度差異,不同種類的金屬的活度差異則會導致其不同于無壓力及低壓力條件下的腐蝕行為差異出現。深海高靜水壓力同樣會對海水中的Cl-活度造成影響。除去外在功的影響,海水的熱力學基本公式如下式(1),海水中溶質組元B的化學勢如下式(2)[22]:

圖 1 海水深度與海水溫度、pH 值、鹽度及氧含量間的關系
Fig.1 Relationship of seawater depth to temperature, pH, salinity and oxygen content[12]

式中,S為對應體系的熵,V為對應體系的體積,G為對應體系的吉布斯自由能,nB、μB分別為B物質的量及化學勢,nC指海水中其他溶質組元。
深海靜水壓力所能達到的數值對溶質組元的偏摩爾體積影響很小,故可以忽略其造成的影響,得到下式[21]:

式中,P 代表為體系壓力,Pθ代表為標準態壓力, aB(P) 及 aB(Pθ )分別為 B 在壓力 P 及 Pθ 時的活度, kB (Pθ ) 為 B 在壓力 Pθ 時的偏摩爾壓縮性,V B (Pθ )為 B 在壓 力 Pθ 時的偏摩爾體積,R 則為氣體常數,T 代表溫度。通過導入相關數據[23-25],代入上式(3)和(4),計算了不同壓力下Cl-在0.725 mol/L的氯化鈉溶液中的活度,結果如下圖2所示[21]。可見,Cl-活度隨著壓力的升高而增加,呈線性上升趨勢。在深海高靜水壓力環境下,Cl-活度較之淺海更高,Cl-更加容易滲入金屬表面鈍化膜,改變點蝕電位,導致金屬發生點蝕,進而加快了金屬的腐蝕速率及失效速率。
金屬腐蝕一般是由2個主要的腐蝕過程構成,析氫腐蝕以及吸氧腐蝕。因而,研究深海高靜水壓力對海水中氫元素及氧元素的活度影響作用是必不可少的,靜水壓力、氫元素、氧元素等因素會綜合影響金屬的腐蝕行為。在應力作用下,氫元素會聚集在金屬表面裂紋尖端的高應力區,降低金屬斷裂表面能,擴大金屬表面裂紋,增大腐蝕速率,并且金屬受到的應力越大,斷裂韌性越差[26]。根據Sieverts定律[27],靜水壓力會影響海水中氫元素的溶解度,從而影響金屬的氫致開裂程度。氫的溶解量會影響鋼在深海環境中的應力腐蝕敏感性,在高靜水壓力下,氫濃度呈線性增加,從而促進了金屬的應力腐蝕[28,29]。
實驗室一般通過壓力反應釜充入氣體進行加壓來模擬深海環境,通過Redlich-Kwong equation of state[30]一系列關系方程式及Henry定律[31]演算得到Krichevsky-Kasarnovsky方程[32]:

式中,fi?(P)為在壓力P下的i的逸度,xi則是氣體的溶解度,Hi為氣體的Henry系數,1PS為飽和蒸氣壓,V i (Pθ )為壓力Pθ下無限稀釋狀態下的偏摩爾體積。
通過式(5),可以計算出在高壓條件下,氣體中組元在液體中的活度等。將溶解氧的偏摩爾體積視作常數,導入相關數據[33],通過式(4)計算得到溶解氧在不同壓力下的活度如圖3所示[21]。如同Cl-活度,隨著靜水壓力的增加,氧的活度也隨之增加,因而便會對金屬的腐蝕起到促進作用。

圖 2 0.725 mol/L 的 NaCl 溶液中 Cl活度隨壓力變化的趨勢
Fig.2 Activity of Cl- in 0.725 mol/L NaCl solution at different pressures[21]
深海靜水壓力的變化會對海水的電離平衡產生影響,通過導入相關數據[23-25],通過計算得到下圖4中電離平衡常數和離子積常數變化。隨著靜水壓力的增大,海水電離的平衡常數及離子積常數增大,從而導致c(H+)、c(OH-)增大。因而,海水的pH值隨著壓力的增大而減小。對于大多數金屬,pH值越小,則越容易發生腐蝕。
目前對于金屬材料深海腐蝕研究的方法一般分為兩類:實海暴露法和室內模擬法。實海暴露即將材料投放至需要實驗深度的深海中,結果真實可靠,但是實驗時間長、影響因素復雜、成本昂貴,并且無法保證實驗成功,因而廣泛通過室內的深海腐蝕環境模擬裝置[13,17-19]對幾個因素進行控制來模擬金屬材料在深海中的腐蝕行為。模擬得出的結果具有一定的意義,但深海環境十分復雜,目前裝置仍無法做到各個因素的精確控制。壓縮蠕變試驗裝置[34]可以模擬深海高靜水壓力下材料的蠕變行為,通過外通海水,實現材料在海水腐蝕介質環境下的蠕變實驗。

圖 3 溶解氧活度隨壓力變化的趨勢圖
Fig.3 Activity of dissolved oxygen at different pressures[21]

圖 4 不同壓力下純水電離反應的平衡常數、離子積常數及呈中性時的 pH 值圖
Fig.4 Equilibrium constants, ion product constants, and neutral pH values for ionization reactions of pure water at different pressures[21]
1.2 鈦合金深海環境下的腐蝕模式及其特征
1.2.1 鈦合金應力腐蝕開裂
鈦合金的耐腐蝕性是由于鈦和氧氣很容易反應生成一層致密的TiO2薄膜,但在缺氧環境下,一旦鈦合金表面鈍化膜被破壞將很難自我修復。在深海環境下,氧的溶解度較小,鈦合金結構裝備會受到深海高靜水壓力的作用,高強鈦合金的應力腐蝕敏感性高于其他種類的鈦合金。鈦合金的應力腐蝕會導致構件突然失效斷裂,因而會發生嚴重事故。鈦合金的應力腐蝕機理一般為2種,即陽極溶解型和氫致開裂型[35-37],如圖5所示[38]。陽極溶解型:金屬表面存在著不同特性的保護膜,這層膜在腐蝕介質或應力作用下發生破裂,使基體金屬裸露在腐蝕介質中,金屬基體作為陽極發生腐蝕反應。由于裸露的金屬面積較小,從而形成大陰極小陽極的腐蝕電池,使得金屬的腐蝕速度大大提高。氫致開裂型:吸附在金屬表面的氫原子經過反應生成分子,再通過氣泡的形式逸出。而另外的氫原子變成溶解型的吸附原子,之后溶解在金屬當中。在外加應力的影響作用下,這些溶解的氫原子聚集在應力集中區,從而導致金屬材料發生低應力條件下的脆斷。仝宏韜[39]對Ti62A、TC4 ELI、TA5 3種典型鈦合金材料進行了深海環境下應力腐蝕研究,相較于淺層低靜水壓力的海水環境,在4℃/8 MPa的海水環境條件下,3種材料的應力腐蝕敏感指數均有不同程度的降低,Ti62A、TC4 ELI、TA5的應力腐蝕敏感指數都小于25%,因而3種材料都無顯著地應力腐蝕傾向。續文龍[40]利用Comsol模擬TC4鈦合金在深海7 km左右環境條件下的氫擴散情況,得出在深海環境中鈦材料應力腐蝕的類型主要為氫致開裂。王奎[41]通過空氣、海水及25 MPa壓力下的深海3種環境對TA2、TC4、Ti80進行實驗。得到TA2、TC4、Ti80在海水環境中沒有顯著應力腐蝕敏感性。但是,在3種環境條件中,在25 MPa深海中的綜合性能最差。可見,海水及壓力仍會促進鈦合金應力腐蝕開裂。由圖5[38]可知,隨著靜水壓力的增大,點蝕坑深度也隨之增加,并且在坑底存在微裂紋,這些微裂紋則會造成應力腐蝕開裂。
1.2.2 深海環境下鈦合金的縫隙腐蝕及沖刷腐蝕
不同深度的海水具有不同的流速,流速能夠使氧氣更易到達金屬表面,減小擴散層厚度,并且去除附著在金屬表面的腐蝕產物,金屬裸露在海水中,進而加快金屬腐蝕反應的速率。在深海,海水流速顯著低于淺層海水的流速,因而設備受流速的影響作用較小。對于易鈍化金屬,受流速影響,海水中氧的傳輸能力增強,陰極去極化過程加速,金屬的成膜速度加快,流速會增強金屬的耐蝕性能,例如易鈍化金屬鈦[42-44]。在狹窄的縫隙中金屬離子(Ti3+/Ti4+)水解使縫隙內溶液酸化誘發縫隙腐蝕,增加了縫隙內腐蝕介質的活性,縫隙內低氧濃度和外側高氧氣濃度區域會形成腐蝕微電池,加快腐蝕速率[39,45,46]。海水中的厭氧型還原菌亦會對金屬材料造成腐蝕,尤其是能在低氧或者無氧的深海區域生存的SRB[46]。在缺氧的條件下,附著在設備金屬表面的SRB會產生陰極去極化作用,從而加快析氫腐蝕反應。

圖5 X70 鋼在不同靜水壓力下于 3.5% NaCl 溶液中,施加應力 σ=0.6σb,浸泡 200 h 后橫截面點蝕形貌
Fig.5 Cross-sectional pitting morphologies of X70 steels under different hydrostatic pressures stress σ=0.6σb, after soaking in 3.5% NaCl solution for 200 h: (a) 0.1 MPa, (b) 5 MPa, and (c, d) 10 MPa[38]
1.2.3 低周疲勞研究
為了能夠承受深海的高靜水壓力,需要增加金屬材料的強度。然而,隨著金屬材料強度的提高,塑性和斷裂韌性則會下降[47]。循環載荷作用下鈦合金結構的抗疲勞性能是評估結構安全性的重要依據,因而需要研究由于低周疲勞引起的結構失效,周期性的交變應力作用及應力過載均會造成金屬材料的塑性變形。王雷[48]通過研究不同應變幅值下TC4 ELI的低周疲勞性能從而對鈦合金耐壓結構進行安全性評估,實驗得出TC4 ELI會有循環軟化的特性,并且隨著應變幅值的增大,裂紋源逐漸從材料表面轉變為材料內部,表現出更為明顯的塑性斷裂特征。Yang[49]通過研究不同應力比下鈦合金的缺口疲勞行為,隨著應力比的增加,鈦合金疲勞強度下降。但對于深海服役的結構裝備,例如深海空間站、深海潛艇等,將會面臨更為復雜的工作環境,因而需要考慮深海綜合因素影響下的壽命預測評估方式。
1.2.4 鈦合金高壓壓縮蠕變
蠕變是恒定的外力作用在金屬材料時,其應力與變形隨時間變化的現象[50]。對于鈦合金蠕變的研究一般分為高溫拉伸蠕變、室溫拉伸蠕變以及本文主要關注的室溫壓縮蠕變3個方向。因為鈦合金首先被廣泛應用于航空航天行業,因而首先對于鈦合金的高溫拉伸蠕變進行大量的研究[51-53]。通常鈦合金的高溫拉伸蠕變曲線分為3個階段:初始蠕變階段、穩態蠕變階段以及加速蠕變階段。位錯攀移是鈦合金在高溫下的主要蠕變機制。高溫下,位錯受到阻礙時可以沿著垂直于滑移面方向攀移,位錯因而可以繼續移動。曾立英[54]通過在500、550、600℃,300 MPa應力下對Ti-60進行高溫蠕變實驗,得出蠕變變形主要是位錯攀移控制。其他不同牌號的鈦合金在高溫下的蠕變變形機制也主要受到位錯攀移控制[52,55]。此外,周曉舟[56]通過研究TC18的高溫蠕變性能得出蠕變變形機制受溫度影響作用,在350~400℃,蠕變應力指數小于2,鈦合金蠕變變形主要受到位錯滑移控制。在450℃,蠕變應力指數等于3,鈦合金蠕變變形主要受到位錯攀移控制。此外,在高溫低應力環境下,蠕變受到空位擴散的影響。溫度升高,空位濃度增大,擴散原子獲得更高的能量,從而引起從高勢能向低勢能的擴散[57]。
然而,隨著對深海開發的迫切需求,鈦合金制深海裝備越來越受到重視,在深海環境下,深海裝備不僅會受到來自深海的腐蝕作用,還會受到高靜水壓力的作用。在高靜水壓力的作用下,材料會發生壓縮蠕變變形,裝備結構便會產生失穩甚至損壞,從而影響深海裝備的安全性及使用壽命。因而需要對鈦合金的室溫蠕變進行深入研究。室溫蠕變與高溫蠕變具有很大的區別。高溫下位錯可借助于空位擴散而攀移,使得位錯得以繼續運動,從而材料依舊發生蠕變變形;而在室溫下,無法為擴散提供需要的能量而使得攀移無法進行,因而室溫下的蠕變曲線一般只有初始蠕變階段以及穩態蠕變階段。位錯滑移以及孿晶被認為是控制室溫蠕變發生的機制。
Peng[58]等人在中低溫不同應力水平下對純鈦合金進行了拉伸蠕變實驗,發現純鈦合金在室溫下,施加應力水平低于屈服強度時,仍然會發生較為明顯的蠕變變形。Oberson[59]通過對在室溫條件下的α-鈦合金蠕變實驗得出蠕變主要變形機制是位錯滑移和時間依賴型孿晶。陳博文[60]對室溫下Ti-6Al-3Nb-2Zr-1Mo和TC4鈦合金進行了高壓壓縮蠕變行為機制的研究,發現蠕變過程只存在減速蠕變和穩態蠕變階段,并且存在相應的應力閾值。當外加應力低于鈦合金的應力閾值時,會出現蠕變飽和的現象,此時鈦合金的蠕變變形量非常小。當施加應力高于應力閾值時,則鈦合金會出現穩態蠕變階段,鈦合金的蠕變變形量以一個恒定的速率增加。王雷[61]對雙態和網籃組織的TC4ELI鈦合金進行了不同應力水平下的壓縮蠕變實驗得到TC4ELI對應力有很強的敏感性,隨著應力增大,鈦合金更容易從蠕變的第1階段發展到第2階段。圖6為雙態組織TC4ELI鈦合金蠕變前后的TEM照片,從圖6a、6b可以明顯看出在蠕變前,鈦合金內位錯分布少,位錯密度低,應力集中在局部區域。圖6c、6d是施加695MPa(0.7Rpc0.2)應力下的TEM照片。可以發現經過蠕變后,鈦合金內位錯密度顯著增大,位錯運動受到阻礙,并塞積在相界處。圖6e、6f則是施加893MPa(0.9Rpc0.2)應力下的TEM照片,位錯密度較695MPa應力下的急劇增大,此時外加應力高于應力閾值,更多方向的位錯滑移系在外加應力的作用下被開動,蠕變因而可以繼續進行。

圖 6 雙態組織TC4 ELI蠕變前后TEM 照片
Fig.6 TEM images of duplex-TC4 ELI alloy before (a, b) and after (c~f) creep at 695 MPa (c, d) and 893 MPa (e, f) [61]
目前對于鈦合金室溫下高壓壓縮蠕變已有部分研究,但一般都是只考慮模擬深海恒定高靜水壓力下的壓縮蠕變試驗,還未有以海水為介質的、以及模擬深海實際工作情況交變壓力下的模擬實驗的力學及化學性能綜合交互作用研究。
1.2.5 深海環境下鈦合金電極反應特征
鈦合金因其表面一層致密的氧化膜從而帶有比一般合金更正的電位,在深海環境中,海水是天然的導電介質。在使用過程中,鈦合金與其他合金不可避免地會發生接觸,由于合金之間存在不同的電位差,從而會構成電池。作為電位更正的鈦合金通常被作為陰極被保護起來,而偶接合金則會被快速地腐蝕。當電位差大于0.25 V時則會發生嚴重的電偶腐蝕[62]。當鈦合金表面存在微小缺陷時,缺陷因為電位低而成為陽極,并且缺陷面積很小,因而腐蝕電流會高度集中,腐蝕因而快速向內發展而形成腐蝕孔。另外,鈍化膜表面為陰極,因此會縱向往內部腐蝕[45,63-65]。
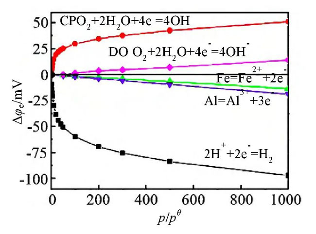
深海高靜水壓力會對Cl-,氧元素等環境因子產生影響,同樣,深海高靜水壓力亦影響平衡電極電位,從而影響金屬的腐蝕速率。在忽略材料的體積模量、離子的偏摩爾壓縮性等條件影響,只考慮應力的作用下,得到如下式(6~8)[21]。通過公式,便可得到靜水壓力改變對平衡電極電位影響的數值。根據文獻[21]的方法計算結果得到下圖7。靜水壓力的增大,對析氫、吸氧反應的平衡電極電位影響較大,靜水壓力使析氫反應的平衡電極電位降低,使吸氧反應的平衡電極電位升高。相較于空氣加壓環境條件,溶解氧條件下吸氧反應的平衡電極電位變化幅度較小。這是因為壓縮后的空氣不僅能夠增大溶解氧的活度,還能增大氧的溶解度,并且溶解度變化對平衡電極電位的影響大于溶解氧活度變化對平衡電極電位的影響。靜水壓力對電極反應交換電流密度的影響在不考慮壓力對化學反應速率及傳輸系數的條件下,可得公式如下[21]:

式中,φe(P)和φe(Pθ)代表壓力P和Pθ時的平衡電極電位,F是法拉第常數,fg(P)代表壓力為P時氣相的逸度,fg(Pθ)則是Pθ的逸度。Vm,s(Pθ)代表固相的摩爾體積,V1(Pθ)以及k1(Pθ)則分別代表了液相的偏摩爾體積和壓縮性。I0,a是陽極的交換電流密度,i0,c則代表了陰極的交換電流密度。
據此對圖7所列典型電極反應的交換電流密度進行計算,所示結果如圖8。從圖可知,隨著靜水壓力的變化,對于不同反應的交換電流密度的影響也不同,對于析氫反應,其交換電流密度增大。而吸氧反應則由于平衡電極電位的增大,其交換電流密度因此減小。
1.3 鈦合金深海腐蝕的計算模擬研究進展
隨著科學技術的飛速進步,對于材料的研究也越發的深入,不僅注重材料的宏觀結構與性能,也更加注重材料的微觀性能。計算機模擬可以對一些困難甚至無法進行的實驗進行模擬,從而達到驗證理論正確性的目的,例如設計新材料成分、性能測定、原理分析等。一般有分子動力學法、元胞自動機法以及相場法等[66]。目前,利用材料計算的方法進行材料行為模擬研究的手段愈發成熟。例如利用第一性原理計算系統研究了ODS鋼中氧化物/鐵素體界面捕氫行為[67],計算出了氫原子容易固溶在電荷密度較高的間隙位置,而且易被氧化物沉淀相與基體間界面所吸收。以密度泛函理論為基礎的第一性原理計算研究合金的熱物理和電子性質及晶格動力學[68],此外,平發平[69]利用第一性原理平面波贗勢法系統研究過渡族合金元素對TiO2氧化性能的影響,發現過渡族合金元素會使TiO2氧化性能提高,從而使得TiO2穩定性下降。

圖 7 某些電極反應的平衡電極電位隨壓力變化趨勢圖
Fig.7 Equilibrium electrode potentials of some electrode reactions at different pressures[21]

圖 8 某些電極反應的交換電流密度隨壓力變化趨勢圖
Fig.8 Exchange current densities of certain electrode reactions at different pressures[21]
此外高通量計算可以用來預測設計合金的多種物理性能指標,推動設計新型的優異性能的合金的發明進程[70,71]。計算擴散動力學可以準確計算多元合金的綜合擴散動力學數據,因而還能應用于材料成分設計以及微觀組織優化,目前可通過計算得到的包括擴散區的溶質分布及再分布、擴散通道、Kirkendall面及各原子面的成分、位移、速度及其微觀穩定性和擴散孔洞的形成與否及其位置等各方面數據[72]。相場法可以用來處理多組分材料的復雜微觀結構[73],相較于傳統的相場模擬,Landau模型來描述形狀記憶合金的cubic-monoclinic-II(CM-II)馬氏體相變引起的微觀組織變化更加精確[74]。Aryanfar[75]通過結合經電子結構計算得出的熱力學及動力學數據構成的化學反應動力學模型來預測用于輕水反應堆的氧化鋯的腐蝕過程,得到了結合氫擴散,熱解離等因素的新型動力學模型。Li[76]通過元胞自動機法并引入了Block算法,在考慮擴散、界面反應及溶液反應等綜合因素下,研發了模擬亞穩態坑生長及其向穩定生長過渡的點腐蝕計算模型,擴散、點蝕坑半徑的增加等因素均能增強點蝕坑進入穩定生長階段的可能性。Trindade[77]研發以固態擴散為核心基礎的計算程序用以模擬塊狀金屬中多相內部腐蝕過程以及低合金鋼中發生的晶間腐蝕,模擬出的結果與實驗結果有較高一致性。但目前將材料計算模擬與深海腐蝕相結合的研究較少,未能很好的深層次探討深海環境下腐蝕裂紋萌生與腐蝕特定環境間的交互作用機制、應力再分配對于區域腐蝕過程的作用模式等。
2 展望
相較于環境影響因素復雜的深海,在浪花飛濺區、海岸環境、海水浸泡等環境條件下的鈦合金腐蝕數據已有一定積累。但深海環境下Cl-離子等腐蝕性離子的活性變化、高海水靜壓對于TiO2鈍化膜生成及修復、高水平壓應力作用下的應力腐蝕開裂、高壓壓縮蠕變等腐蝕過程的作用影響著深海服役裝備的安全性和穩定性。同時深海環境下金屬材料的腐蝕行為及機理仍存有諸多欠缺。因而鑒于目前的研究現狀,未來研究應著重于:
1)完善深海腐蝕環境模擬裝置,如加強控制溶解含氧量,模擬深海海水流速,施加應力模式準確控制,提高模擬實驗數據的精確性對于作為實際情況應用的參考數據具有重大意義,并建立針對深海腐蝕環境的腐蝕模擬標準實驗方法。此外,未來對于深海環境的水文參數的調查也是準確模擬深海腐蝕的關鍵性問題。
2)通過建立特定材料計算方法及模型,精確模擬鈦合金等材料在深海環境下的腐蝕規程,從而得到在高凈水壓力的深海環境下鈦合金發生的腐蝕行為及腐蝕機理。但由于影響深海腐蝕過程的因素眾多,對于深海環境下鈦合金的腐蝕模擬研究計算難度較大,未來應著重解決力與化學交互作用機理、應力再分配特征、合金微觀組織-深海腐蝕環境-服役性能的集合影響等相關問題,使得能夠通過計算模擬的方式對深海實驗進行模擬,那么對于各種金屬在深海的腐蝕研究將會有重大的突破。
3)對于深潛器等耐壓結構,深入研究裝備的腐蝕行為及機理,海水介質下高交變壓力對鈦合金蠕變行為的影響研究及疲勞性能等綜合特性才能合理與準確地預測裝備的服役壽命,為實際裝備選材與結構制造提供有價值的依據。
