作者:柳皓晨,范林,張海兵,王瑩瑩,唐鋆磊,白雪寒,孫明先
1.西南石油大學 化工學院,成都 610500;
2.中國船舶重工集團公司第七二五研究所(洛陽船舶材料研究所) 海洋腐蝕與防護重點實驗室,青島266237;
海洋占地球總面積的70.8%,深海蘊藏著豐富的資源。近年來,由于陸地環境的污染和能源的短缺,因此海洋環境逐漸被各個國家所重視[1]。我國在“十三五”規劃綱要中指出,要加強深海、深地、深空和深藍領域的高技術部署,其中,深海首當其沖,可見我國建設海洋強國的決心[2]。深海不僅是石油、天然氣和礦產資源勘探、開發的陣地,也是各國海洋科學探索和先進深海技術比拼的主戰場,許多國家已加快了深海裝備的研制和部署[3-5]。然而深海的環境復雜嚴酷,深海除了具有較高的靜水壓力外,溫度、鹽度、pH、溶解氧等因素也與淺海環境差異巨大,這就為深海裝備帶來了未知的腐蝕失效風險。同時,苛刻的深海環境也為深海裝備的應用以及材料的深海腐蝕研究帶來了挑戰。
比強度高、密度較小的鈦合金與不銹鋼、鋁合金等耐蝕材料相比,擁有更好的耐點蝕、縫隙腐蝕、晶間腐蝕和耐均勻腐蝕性能。而且在高速流動的海水中,其耐腐蝕性能依舊保持良好。鈦合金還是唯一的在海水和空氣中的疲勞極限幾乎無顯著差別的高強度材料。所以鈦合金被稱為海洋金屬[6, 7]。雖然鈦合金導熱性、耐磨性、焊接性欠佳,存在熱加工吸氫等問題,但其優異的綜合性能仍使它成為一種重要的海洋材料,在深海裝備上的應用與日俱增,并且逐漸由零部件向關鍵結構方向發展,對鈦合金深海腐蝕行為的研究和耐蝕性評價也隨之成為時下關注的熱點。
盡管鈦合金在表層海水中表現出十分優異的耐蝕性能,但隨其服役水深的不斷增加,受深海低溫、低氧、高壓的影響,鈦合金鈍化性能降低,這將增加材料發生局部腐蝕,特別是應力腐蝕開裂的風險。Pang 和Blackwood[8]研究發現,TA2 和TC4 在低氧條件下會表現出一定的縫隙腐蝕傾向。楊小佳等[9]通過電化學方法和U 型彎實驗在模擬深海環境下對TA2的電化學行為以及應力腐蝕行為進行了研究,結果表明,靜水壓力對TA2 的陽極溶解及陰極析氫反應都會產生促進作用。另一方面,鈦合金合金化后也會引起微觀組織結構變化。Pilchak 等[10]通過研究 Ti-8Al-1Mo-1V 合金發現,晶體學取向的刻面是通過合金開裂而產生的。董月成等[11]研究了TC4 ELI 鈦合金在海洋環境下的服役性能,結果表明組織結構對鈦合金的服役性能有著重要的影響。此外,焊接、加工等后處理過程帶來的組織缺陷和內應力,及其與腐蝕電化學的協同作用,也是引起鈦合金深海應力腐蝕的重要因素。
隨著鈦合金應用廣度和深度的不斷增加,對鈦合金深海環境主要服役性能的認識愈加緊迫。因此,探索裝備用鈦合金的深海環境效應,揭示鈦合金深海應力腐蝕規律和機制,是當前亟需解決的重要課題之一。本文針對鈦合金在深海應用中可能存在的應力腐蝕問題進行了評述,并就深海環境因素的影響進行了探討。
1、鈦合金的分類與應用
1.1 鈦合金的分類
鈦合金主要分為α 型、α+β 型和β 型三種。α 鈦合金中的TA1、TA2、TA3 為工業純鈦,TA7 為典型的α 型鈦合金。α 型鈦合金的優點為組織比較穩定,有良好的焊接性能,并且熱強性也較好。它的缺點是室溫下塑性較差,容易被壓裂,但在加熱時塑性會有一定的改善。α 型鈦合金一般用于500℃以下長期工作的各種構件以及有耐蝕性要求的零件等。β 鈦合金常用的有TB1 和TB2,具有強度高、冷加工性能好、塑性好等優點。但也存在焊接性能不夠穩定,容易吸氣等問題。β 鈦合金主要用于重載旋轉零件,如壓氣機葉片、軸、輪盤等。相比α 型,α+β 鈦合金耐熱性及焊接性能較差,而室溫強度和其他性能則會比α 型強。α+β 鈦合金中用量最大的是TC4(Ti-6Al-4V)。這種鈦合金擁有較高的熱強度、熱塑性,適合熱壓鍛造,同時低溫韌性與綜合力學性能也較好。但是在較高溫度下,組織穩定性比退火后的弱,所以通常情況下不用于熱處理強化,一般以退火態使用。α+β 鈦合金主要用于制造導彈及飛機上有高溫強度要求的發動機零件、壓氣機盤、葉片等結構零件,此外,潛艇耐壓殼體等要求高強度的構件,以及火箭、導彈和液氫的燃料箱也用α+β 鈦合金。
1.2 鈦合金的應用
1.2.1 在艦艇裝備上的應用
艦船是最重要的海洋裝備之一,長期浸泡在海水中的船體部件很容易受到海水腐蝕,所以對艦船材料的使用標準要求也比較高,需要具備優良的強度、韌性以及耐海洋環境腐蝕的能力。在實際的建造過程中,材料還需要有極好的加工性與可焊接性。鈦合金能夠充分滿足船舶材料的要求,其發展前景十分可觀[12]。鈦材的使用可以減小船體質量,解決腐蝕問題,確保抗沖擊性和抗疲勞性,從而延長艦船使用壽命。用鈦合金代替不銹鋼或銅鎳合金,用來制造艦船動力系統的熱交換器、冷凝器、反應堆殼體、推進軸、螺旋槳等,可大大提高動力系統的使用壽命和安全可靠性[13]。1985 年,日本建造了全鈦游艇,成為世界第一艘全鈦船舶。
1.2.2 在水下裝備上的應用
鈦合金因其密度小、強度高、無磁性,成為建造大深度潛艇及深潛器耐壓殼體的理想材料。法國的SM97號使用TC4 ELI 鈦合金,日本的“深海2000”號、美國的Aivin 號和Sea-Cliff號深潛器的殼體也都采用了鈦合金。近年,Breddermann 等[14]借助增材制造技術,采用鈦合金制造了深海航行器耐壓外殼。2016 年,我國自主設計建造的載人潛水器“蛟龍”號[15]成功進行了7000m 級深潛試驗;2017 年,我國完成了首臺國產化率達95%的載人深潛器“深海勇士”號4500m 下潛試驗;2020 年,我國“奮斗者”號載人深潛器在馬里亞納海溝成功坐底,完成萬米海試,標志著我國擁有了全海深載人深潛能力。除這些深海裝備,還有“海斗”號等無人潛水器都是采用鈦合金耐壓結構。鈦合金在海水管路中的應用也成為一個重要方向。俄羅斯是世界上最早在船舶制造業中大規模使用鈦合金的國家,并且幾乎所有潛艇都采用了鈦合金管道。2003 年,我國在某型號潛艇的海水冷卻系統、消防系統和生活海水系統上使用鈦合金管材,這也是我國首次在海水管路系統中使用鈦合金[16, 17]。
1.2.3 在海洋油氣開采裝備上的應用
上個世紀 70 年代,美國將鈦合金運用在近海石油平臺支柱上。上世紀90 年代初,Conoco公司首次將鈦合金應用于平臺的提升裝置,自此以后鈦合金提升管開始大量應用在石油、天然氣開采行業[18]。另外,為了降低成本和減輕重量,海底開采石油也已經運用鈦合金制造高壓采油管,海上平臺的熱交換器也已使用鈦合金[19]。目前,鈦合金在海洋油氣開采裝備中主要應用于換熱器、提升裝置、結構件等。
目前,鈦合金在海洋工程和裝備上的應用還比較少,服役期還較短,腐蝕問題還沒有完全顯現出來。隨著鈦合金在深海工程關鍵裝備結構及部件上應用的不斷增多和服役時間的延長,可能進入一個裝備材料腐蝕問題的爆發期,鈦合金可能面臨的深海局部腐蝕破壞,特別是應力腐蝕問題愈發不容忽視。因此,適時開展鈦合金深海應力腐蝕開裂行為及機理的預先探索,明確應力腐蝕的發生原因及其與服役環境的關系,對于提高鈦合金深海裝備的抗腐蝕失效風險能力至關重要。
2、鈦合金深海應力腐蝕機理
應力腐蝕會突然發生,并且會在外觀沒有明顯變化的情況下,是一種具有很大危害的局部腐蝕失效形式。應力腐蝕裂紋一旦產生,將造成局部應力集中和脆性開裂,最終導致材料在遠低于屈服應力下斷裂。以下介紹了幾種影響應力腐蝕的因素及機理。
2.1 殘余應力
鈦合金有40%的事故與鍛造、加工、焊接、熱處理等過程中引入的殘余應力所造成的應力腐蝕開裂有關。殘余應力是指當外力的作用消失后,在材料內部存在并且可以保持平衡狀態的內應力[20],可將之分為兩類,宏觀殘余應力和微觀殘余應力。研究殘余應力作用下的電化學腐蝕行為對于研究材料的失效行為具有很重要的意義。點蝕和應力腐蝕是殘余應力作用下兩種主要的腐蝕形式[21]。王軍等[22]指出,只有在較低的應力水平、常規的介質環境條件下,耐蝕材料突出的抗Cl-應力腐蝕開裂性能才能充分顯現。上述條件一旦被突破,特別是高應力下(如厚件大面積堆焊所產生的大范圍、高峰值殘余應力),即使像2507這樣的超級雙相不銹鋼,其抗應力腐蝕開裂的能力也將嚴重降低。焊接導致的殘余拉應力可使受拉區域表面活化能減小,從而增加了材料表面活性,導致耐蝕性降低[23]。由于焊接殘余應力的堆積,造成材料耐蝕性的降低,誘發裂紋萌生和擴展的研究報道屢見不鮮[24]。朱江[25]研究了不同深冷時間對TC4鈦合金電子束焊接接頭的性能影響,通過殘余應力測試,發現了殘余應力與焊接接頭應力腐蝕之間的關系。隨著深冷時間的增加,殘余應力減小,接頭的耐蝕性能增強。此外,服役環境下產生的外應力或由于腐蝕產物體積效應而造成的不均勻應力等,都是產生應力的來源。應力水平越高,出現應力腐蝕裂紋的時間越短。
2.2 表面組織結構
在海洋環境下,鈦合金會表面生成的氧化膜能減緩其自身的腐蝕[26],然而鈦合金在高濃度氯化物、低氧環境下,如點蝕、縫隙、裂紋等閉塞區,這層氧化膜會遭到破壞,同時產生可吸附氫,導致應力腐蝕開裂[27]。鈦合金表面狀態和組織結構對應力腐蝕發生的幾率和速率有較大影響。鈦合金光滑試樣在3.5%NaCl溶液中或海水中不發生應力腐蝕開裂,而一旦試樣上有了裂紋,應力腐蝕很快就發生。α相對應力腐蝕開裂敏感,β相不敏感,因此,β相含量高的兩相鈦合金具有較高的應力腐蝕抗力[28]。Pustode等[29]研究發現,裂紋最初形成于α相與β相界面,主要是穿過初生α晶粒和沿轉變β組織中的α/β界面生長,如圖1所示。當鈦合金用于深海承壓結構時,由于承壓結構形式復雜,焊接不可避免,然而焊接過程會通過改變鈦合金焊接接頭組織結構而顯著影響材料耐蝕性,應格外關注。對于α或近α鈦合金,在焊縫中均保留α或α‘馬氏體組織,其形態取決于β向α或α’轉變的冷卻速度:在高的冷卻速度下,形成針狀α或α‘相;在較低的冷卻速度下,形成寬而長的片狀相[30]。針狀晶粒帶來的表面應力,以及晶界雜質偏析引起的鈍化膜不均勻,仍然會造成晶界處鈍化膜被優先溶解,形成多孔層[31]。片層結構產生的電偶作用會加速腐蝕。柱狀晶表現出強烈的取向性,平行生長的晶粒界面上,以及兩個生長方向垂直的界面碰撞都會發生溶質偏析。溶質偏析導致焊縫的化學性質不均勻,使其腐蝕電位較母材區更負[32]。在焊接表面應力和電偶腐蝕效應共同作用下,焊縫在海水中發生陽極溶解,產生氫吸附,導致裂紋的萌生,同時氫擴散誘導α’相界及α‘相內發生位錯塞積,進而使裂紋在更低的應力水平下發生擴展[33]。

圖1 IMI 834鈦合金應力腐蝕開裂形貌[29]
Fig.1 Stress corrosion cracking morphology of IMI 834 Ti-alloy [29]
(a) Crack initiation along the α/β interface; (b) Crack propagation through the primary α grains and transformation β matrix; (c) and (d) Crack initiation and propagation along the α/β interface
2.3 合金元素
合金元素也是影響鈦合金應力腐蝕敏感性的關鍵因素。當合金元素形成氧化物時,這些氧化物將以分散的團簇形式嵌入鈦基體中。若合金元素均勻地分布在每個相中,則氧化物團也會均勻地分布在基體中,最終會產生穩定的鈍化膜。可見,造成合金元素不均勻分布的處理方式,例如焊接后的焊縫區和熱影響區,都不利于穩定鈍化膜的形成。例如,Ti-Al-V鈦合金,V的氧化物可溶于水溶液中,且Cl-會促進其溶解。鈍化膜中空穴的擴散和形成受到V的氧化物的溶解的影響。因此,合金元素V不能改善鈍化膜耐蝕性,它在各相中的不均勻分布會導致腐蝕敏感區形成,合金的耐蝕性也會隨之降低。由此可見,造成鈦合金耐蝕性變化的根本原因是合金元素在各相中的分布及其氧化物的形成程度[34]。特定合金元素的適量添加,可以改善鈦合金的應力腐蝕抗力。研究表明,Mo可以提高Ti-Al-Sn-Zr-Nb-Mo-W-Si系高溫鈦合金在700℃下的抗拉強度,適量添加Nb和W可以提高合金的屈服強度,同時減輕其應力腐蝕敏感性[35]。Nb的鈍化膜主要成分為Nb2O5,較TiO2可在更大的電勢范圍內表現為介電行為,能夠顯著提高鈦合金鈍化膜的腐蝕電位,降低其擴散系數[36]。微量鉑族金屬(如Pd、Ru)添加至TC4鈦合金中可起到陰極改性的作用,提高腐蝕電位,并通過使TiO2鈍化膜增厚的方式阻礙腐蝕的進行[37]。Mn是一種強β相穩定元素,隨Mn含量的增加,馬氏體轉變起始溫度(Ms)升高,β相穩定性提高,抑制應力誘導馬氏體轉變及晶界針狀α'’的析出,從而提高了鈦合金的抗應力腐蝕開裂性能[38]。此外,O含量低于0.13%時,鈦合金的應力腐蝕敏感性大大降低。
2.4 陽極溶解與氫致開裂
一般而言,高強材料的應力腐蝕開裂機理可分為陽極溶解型和氫致開裂型兩類。鈦合金的深海應力腐蝕開裂也不外于此。陽極溶解機理認為,應力腐蝕裂紋的形核和擴展受到陽極的持續溶解能力的影響[39]。但時,關于陽極金屬如何溶解以及應力的影響,存在著不同的看法。一些學者認為應力作用下的塑性變形會導致局部鈍化膜破裂,暴露的新鮮金屬會瞬間溶解,然后再次鈍化,在應力作用下鈍化膜再次破裂,該過程往復,最終導致應力腐蝕裂紋的形核或者擴展。而另一部分學者認為,選擇性溶解產生點蝕,點蝕誘發裂紋形核。裂紋的擴展可以視為一種溶解導致的氧化物形成和隨后再重組的腐蝕過程[40]。在反應歷程上表現為,Ti 的陽極溶解,H 的析出和Ti 的氫化物的形成,其反應式為:

應力腐蝕裂紋尖端基體金屬主要發生陽極溶解反應。裂尖陽極溶解使氫離子濃度增加,為保持電中性,裂紋外的Cl-遷入裂尖,進一步促進裂尖金屬的溶解和溶液的酸化,抑制鈍化膜的再生[41]。并且隨著應變量的增大,應力腐蝕敏感性增加,裂紋尖端會發生位錯堆積,促進裂紋擴展[42]。Yang 等[43]認為外加載荷( 應力)增加了裂紋尖端的腐蝕速率,加速了裂紋擴展,但是裂紋尖端的腐蝕產物會沉積,沉積也會在一定情況下減緩腐蝕, 然而, 進一步增大應力仍然會引起局部陰陽極分化, 加速裂紋擴展。Chang等[44]對含有中心裂紋的密排六方(HCP)鈦單晶在I 型加載條件下的裂紋尖端進行了原子尺度模擬,結果表明鈦本質上是一種延性金屬,因在裂紋尖端通常可見塑性變形,裂尖塑性變形歸因于基面滑移或柱面滑移的激活。通過比較不同條件下裂紋尖端擴展增量發現,脆性模式下裂紋擴展最快,其次是孿晶主導的裂紋擴展,位錯滑移主導的裂紋擴展速率最低。由此可見,任何不利于維持鈦合金塑性的因素對其抗應力腐蝕開裂性能都是有害的。其中,最重要的因素之一就是氫。
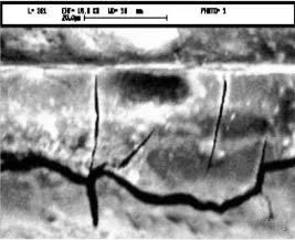
黃顯亞等[45]用微電極法和pH 試紙法直接測定了Ti-5Al-2.5Sn 和Ti-5Al-4V 在近中性3.5%NaCl 水溶液中應力腐蝕裂紋頂端溶液的pH 值,發現裂尖pH 值至少達到1.7~2.1,或者可能更低,具備著析氫反應的條件。應力腐蝕形核過程主要是選擇性陽極溶解,而一旦Ti 離子局部水解使裂紋尖端溶液pH 降到足夠低,以及濃聚的Cl-使裂尖金屬電位降到足夠低,使大量氫生成并進入裂紋前端區域,應力腐蝕開裂過程則轉為以氫脆機制為主的過程。
氫致開裂理論認為,腐蝕過程中產生氫,氫在拉應力作用下擴展到裂紋尖端從而導致氫脆[46]。氫的擴散聚集及氫化物的形成對鈦合金的應力腐蝕具有重要作用。一方面,氫在位錯處的環境敏感鑲嵌能較低,易于在位錯處聚積,形成氫原子氣團。位錯對氫原子氣團的“釘扎”作用使鈦合金局部硬化,導致位錯運動受阻,并且會形成微裂紋。劉貴立等[47]通過遞歸法模擬并揭示了鈦合金的應力腐蝕機理,認為氫在位錯處聚集的能量要低于α 相內所聚集的能量,所以最終在位錯處氫會偏聚,從而形成柯氏氣團,而位錯的運動又會受到柯氏氣團與位錯的交互作用的影響,引起位錯塞積,阻礙塑性變形,最終導致微裂紋形核。裂紋尖端費米能級高于裂紋其他區域,電子從裂紋尖端流向裂紋其他區域造成電位差,在電解質作用下裂紋尖端陽極溶解腐蝕。拉應力與裂紋處的氫氣壓使裂紋解理或沿晶延伸,促進應力腐蝕的發展。也有研究認為,氫首先促進局部塑性變形,并通過位錯的滑移形成解理裂紋核心,然后在裂紋內部氫會聚集形成氫氣,產生巨大的氫氣氣壓,從而導致內外應力共同作用下的裂紋快速擴展[48]。另一方面,在應力腐蝕過程中,氫很容易被鈦吸收,產生不同類型的氫化物。氫化物的生成會在其附近產生內應力或由于自身脆性引發開裂,并且片狀氫化物更易于致脆[49]。Madina 和Azkarate[50]通過陰極極化充氫發現了Ti Gr-12 表面氫化物層的形成及其相關的脆性裂紋,如圖2 所示。燕輝等[51]研究了氫化物對TA10 腐蝕的影響,結果表明氫化物的增多加劇了TA10 鈦合金的腐蝕。郭敏等[52]研究了氫對工業純鈦TA2 腐蝕的影響,發現TA2 在海水中的氫脆屬于氫化物型氫脆,并且氫化物的形成會使TA2 的鈍化膜穩定性下降,容易發生腐蝕。羅強等[53]研究證實了氫會在TA16 合金中形成氫化物TiHx,隨著TA16鈦合金含氫量的增加,其氫脆敏感性隨之增大。王得明等[54]通過超高壓透射電鏡原位觀察發現,即使在3.57~4.46mg/m3 含氫量時,也有可能由于氫化物的積聚而發生脆性開裂。當氫含量低于0.134mg/m3 時,可以防止發生氫脆,但是可逆氫脆仍然很難避免[55]。氫在α 相中的溶解度和擴散率低于β 相,因此鈦合金由氫化物所致的氫脆敏感性因β 相含量的不同而存在差異,但其作用方式仍需做進一步的研究[48, 56]。Qiao 等[57]研究表明,Ti-4Al-2V-1Mo-1Fe合金充氫后,α 相中會形成γ-TiH 和δ-TiH2 氫化物,促使α 相發生選擇性溶解,由此破壞了其鈍化能力,最終導致氫致裂紋的萌生與擴展。詹思遠等[58]通過有限元模擬研究了在應力誘導作用下,環境壓強對于深海環境中的帶裂紋鈦合金裂尖處的氫濃度分布情況的影響,結果表明氫在裂尖處聚集,壓強越大情況越嚴重,更容易導致裂紋擴展。

圖2 Ti Gr-12 鈦合金在海水中,-1500mV(Ag/AgCl)陰極極化電位,2×10-7s-1 應變速率下的氫化物層及應力腐蝕裂紋[50]
Fig.2 Hydride layer and stress corrosion cracking morphology of Ti Gr-12 Ti-alloy in seawater, at -1500mV (Ag/AgCl) cathodic polarization potential in seawater with the strain rate of 2×10-7s-1[50]
此外,深海微生物也可能是引起鈦合金氫損傷的重要因素。其中研究較多的是硫酸鹽還原菌(SRB),SRB 是一類廣泛存在于自然環境中可以利用硫酸鹽類物質作為呼吸代謝電子受體的厭氧類微生物,是造成金屬腐蝕破壞和設備故障的主要原因之一[59]。SRB 的代謝產物中產生濃度較大的H2S、HS-和S2-等,它們既促進H 的生成,降低H 的復合速率,又促進H 滲透擴散至高應力區,誘發裂紋萌生,加速裂紋擴展。此時SRB 有類似氫化物的作用。與無S 鈍化膜相比,含S 鈍化膜更容易被Cl-穿透而加速腐蝕,因此SRB 新陳代謝產生的硫化物為Cl-穿透提供了“通道”,進而為應力腐蝕開裂提供了誘發點。點蝕坑底部往往出現次生點蝕坑,表明SRB誘發了二次點蝕,二次點蝕可使寬淺坑的應力集中程度增大,從而導致“二次開裂”[60]。
應力腐蝕是鈦合金在深海中所面對的最主要的風險之一,了解應力腐蝕的機理以及造成應力腐蝕的原因不僅可以減小應力腐蝕對于鈦合金的影響,并且對鈦合金在深海中的應用研究有著很重要的意義。
3、深海環境因素對鈦合金應力腐蝕的影響
在深海環境下深海靜水壓力、溶解氧含量、pH、溫度等都會影響金屬材料的應力腐蝕行為 [61, 62]。深海與淺海環境的顯著不同,也導致金屬材料腐蝕規律的差異。研究表明[63, 64],隨著海水深度的增加,活性金屬的腐蝕減輕,鈍性金屬的活化和鈍化性質轉變,金屬的均腐蝕速率降低,但是點蝕、應力腐蝕開裂等局部腐蝕形式更加顯著。
3.1 靜水壓力
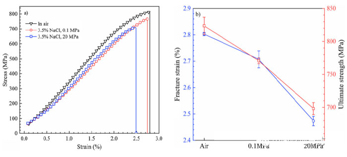
高靜水壓力是深海與表層海水的最大區別。隨海水深度的增加,靜水壓力也隨之增大,并且靜水壓力是制約材料腐蝕機制的重要因素,也是一直以來,深海環境因素與材料應力腐蝕相關性研究的熱點。在實際深海環境試驗中,耐蝕合金(如鐵素體不銹鋼)的點蝕深度與靜水壓力間表現出極大的關聯,隨靜水壓力的升高,點蝕深度增加[65]。Yang 等[66, 67]發現靜水壓力會使材料的耐點蝕性能降低,并且加速點蝕萌生。Beccaria 等[68, 69]認為造成上述結果的原因是,在較高海水壓力下,Cl-的活性增加,更容易滲透進入鈍化膜,使鈍化膜氧化物和氫氧化物轉變為可溶性的氯氧化物,從而加速點蝕的發生。劉杰等[61]和孫海靜等[70]證實了高靜水壓力對電極陰極過程影響不大,但能夠提高Cl-活性,加快陽極溶解速度。Zhang等[71]基于統計學方法和隨機理論研究了靜水壓力對材料點蝕的影響,結果表明,靜水壓力的增加會提高材料的亞穩態點蝕發生的頻率,并且增大向穩態點蝕發展的傾向,但是卻未改變點蝕的產生機制。除了對鈍化膜性質及點蝕的影響外,靜水壓力還會通過影響腐蝕產物的性質影響材料的腐蝕速率和腐蝕形態。如高靜水壓力會使鋁合金腐蝕產物膜更致密,從而導致更好的保護性。表面腐蝕產物的界面性質會因交變壓力的作用而改變,從而加劇材料的腐蝕[72]。Liu 等[73]采用慢應變速率拉伸試驗研究了2℃下3.5%NaCl 溶液中,靜水壓力對TC4應力腐蝕開裂的影響。在0.1MPa 和20MPa 靜水壓力條件下,應力腐蝕開裂的敏感性分別為3.4%和11.8%(圖3),表明靜水壓力越高,應力腐蝕開裂敏感性也越高。在20MPa 下,去除鈍化膜的U 型彎曲試樣的開路電位(OCP)比在0.1MPa 下更負,且初始電位回復更加緩慢(圖4),表明在較高的靜水壓力下,TC4 的鈍化能力變差。因此,靜水壓力通過加速陽極溶解、破壞鈍化膜、促進點蝕萌生、改變腐蝕產物的保護作用等方式影響材料的耐蝕性,并且隨著靜水壓力的增大,鈦合金的耐腐蝕性會減小。

圖3 TC4 鈦合金在2℃、3.5%NaCl 溶液中,不同靜水壓力條件下的慢應變速率拉伸試驗結果[73]
Fig.3 Strain-stress curves of Ti-6Al-4 V Ti-alloy in air and in 3.5% NaCl with the hydrostatic pressures of 0.1 and 20 MPa at the strain rate of 5×10-6 s-1 (a) Strain-stress curves; (b) Fracture strain and ultimate strength[73]

圖4 TC4 鈦合金U 型彎曲試樣的OCP 曲線[73]
Fig.4 OCP for the TC4 Ti-alloyU-bend specimens (a) After removing oxide films in 3.5% NaCl solution under 0.1 and 20 MPa; (b) The time-potential curves of OCP for the first 100 s[73]
3.2 溶解氧含量
溶解氧含量是影響金屬深海耐蝕性的又一關鍵因素。隨著海水深度的增加,溶解氧含量降低,在經歷700~800m 深度下的最低含氧區后,溶解氧含量小幅上升并趨于穩定。在溶解氧含量較高的淺層海水中,腐蝕過程的陰極反應傾向于吸氧反應,而在溶解氧含量較低的深海中,吸氧反應將受到抑制,使得腐蝕速率降低。美國海軍實驗室進行的材料深海腐蝕試驗研究表明,對于發生均勻腐蝕的材料,其深海腐蝕速率與溶解氧含量成線性關系[74]。對于依靠自身鈍化而耐蝕的材料來說,溶解氧含量的作用更多地體現在對鈍化膜耐蝕性的影響上。Berthaud 等[75]研究了溶解氧含量對α 鈦合金鈍化行為的影響,結果表明,溶解氧含量越大,越容易形成鈍化膜。龔敏等[76]和王晶等[77]發現,在氧含量高的鹵鹽溶液中,不銹鋼具有更高的點蝕電位,這說明高氧含量使不銹鋼表面鈍化膜更加致密,自愈能力更強,因而能夠對點蝕形核起到有效的抑制作用。彭文才[78]在模擬不同深度溶解氧含量的條件下,對5083鋁合金進行的電化學測試表明,隨著溶解氧含量的降低,自腐蝕電位變負,鈍化膜穩定性也隨之降低。Ti-6Al-4V 和Ti-6Al-7Nb 鈦合金具有類似的現象[79],如圖5 所示,在無氧條件下,腐蝕電位比在開放的有氧環境下低0.2V。鈦合金上的鈍化膜主要由Ti 的氧化物組成,溶解氧含量的降低造成Ti 氧化不完全,大量低價態Ti(II)和Ti(III)在致密的TiO2 膜層中摻雜,導致鈍化膜點缺陷密度增加,最終形成疏松多孔層。研究表明,Ti-Al-Nb-Zr-Mo 鈦合金在深海中的鈍化能力較在表層海水中降低1 個數量級[80]。所以,溶解氧對于維持保護性鈍化膜的生長是必不可少的。但是,鈦合金深海耐蝕性的降低并不是必然會引起鈦合金的嚴重腐蝕。經2 年的深海暴露試驗發現,TC4 的平均腐蝕速率僅為約0.1μm/a。由此推測,鈦合金在深海環境中應力腐蝕裂紋的萌生將十分緩慢。但在特定條件下,仍有可能表現出應力腐蝕敏感性。例如當鈦合金處于臨界應變時,裂紋開始慢速擴展,擴展速率受應變速率控制;達到臨界晶界氫含量時(深海低氧條件導致析氫反應傾向增大,加之微裂紋內氫聚集),裂紋開始快速擴展,擴展速率受氫的擴散控制[81]。溶解氧含量的降低和氫的擴散累積使鈦合金由韌性斷裂轉變為解理脆性斷裂[39]。羅強等[82]研究了TA16 和TA17 鈦合金在高溫高壓水中的應力腐蝕行為,結果表明,隨著溶解氧含量的增加,TA16 和TA17 鈦合金的應力腐蝕敏感指數增大。對于在深海熱液區使用的鈦合金來說,這十分值得注意。

圖5 純Ti、Ti-6Al-4V 和Ti-6Al-7Nb 鈦合金在開放環境下和在無氧環境下的腐蝕電位[78]
Fig.5 Corrosion potential of Ti, Ti-6Al-4V and Ti-6Al-7Nb Ti-alloyin open-air and non-O2 solution system[78]
3.3 pH
海水中的 pH 的范圍一般在7.7~8.3,深海有機物和生物活動都會影響海水的pH。淺層海水由于與空氣進行對流以及植物的光合作用,通常pH 大于8,而隨著深度增加,pH 值先下降后升高,最終達到一個穩定值。Wataha 等[83]指出,當材料服役環境pH 降低時,環境中的氫離子增多,伴隨著更多的金屬離子溶解出來,金屬的腐蝕速率也將明顯的加快。當pH 小于4 時,鈦的鈍化膜開始溶解,同時產生TiHx 腐蝕產物。在含Cl-的溶液中,這種表面溶解作用隨pH 減小而更趨于均勻化,表現為活性面積增加,局部蝕坑內外腐蝕電池效應減弱[84]。高濃度的酸性環境能夠顯著增加鈦合金的應力腐蝕敏感性。即使是在腐蝕性極弱的無水乙醇中,隨著陽極過程中大量乙酸的產生,溶液pH 急劇減小,TC4 仍能發生強烈的陽極溶解,同時應力腐蝕開裂顯著加快,如圖6 所示,試樣斷口截面上可見穿越氧化物膜層的裂紋[85]。Zhang 等[86]研究表明,隨著pH 的增加,TC4 的耐蝕性逐漸增強。而在pH 大于12 的過氧化氫溶液中,鈦反而具有較高的應力腐蝕傾向。總之,任何削弱鈦合金鈍態的因素(如升高溫度或黏度、合金化、引入Cl-或醇、降低pH)都將增加應力腐蝕開裂敏感性;那些有助于鈦合金鈍化的因素(如增加氧化膜厚度、高pH、引入磷酸根離子)都將有利于抑制應力腐蝕開裂[87]。與鈦合金深海應力腐蝕裂紋擴展直接相關的是裂尖區溶液環境。通過微電極法測量了模擬深海環境中裂尖區的溶液特性,初步探明了裂尖區溶液Cl-濃聚和酸化現象。深海環境因素對裂尖溶液Cl-濃度和pH 的影響程度不同:溶解氧含量對pH 的影響最大,溫度對Cl-濃度的影響最大;深海低溫、低氧和高壓條件對裂尖區溶液Cl-濃聚和酸化存在協同作用,推測這與深海環境對裂尖金屬電化學反應動力學規律的影響有關,還需進一步研究。

圖6 TC4 鈦合金在無水乙醇中的應力腐蝕開裂斷口截面形貌[84]
Fig.6 Cross-section morphology of stress corrosion cracking of TC4 Ti-alloyin ethanol[84]
3.4 溫度
溫度對鈦合金應力腐蝕開裂的影響決定于金屬表面鈍化膜的形成和溶解的競爭過程,因所處的溶液環境及原始的表面狀態而異。一般來說,反應速率受到溫度的影響,當溫度升高時,反應就會加快,這里所說的反應既有可能是腐蝕溶解,也有可能是鈍化成膜。大量的腐蝕試驗結果表明,鈦合金處在鈍化條件下,溫度與腐蝕速率沒有明顯的關系,在室溫下已經形成的氧化膜在高溫條件下穩定性依舊很高[88]。然而,在高溫下,鈦合金新鮮表面不易發生鈍化;在強酸或強堿環境中,鈦合金可能會處于活化狀態,此時的腐蝕則會隨著溫度的升高而明顯加快。de Souza 等[89]采用電化學方法研究了硫酸溶液中,Ti 及Ti-Ta 在不同溫度下的腐蝕行為,結果表明,材料在室溫下耐蝕性最高,隨著溫度的升高,耐蝕性逐漸降低。早期研究發現,鈦合金在高溫(>250℃)氯化物溶液中將發生沿晶型應力腐蝕開裂[90]。海水溫度隨著深度的增加而降低,當深度達到4000m 左右時降低到2.4℃,然后幾乎不變。由此推測,對于鈍化膜完好的鈦合金,低溫下腐蝕緩慢,應具有較低的應力腐蝕敏感性;但對于鈍化膜遭到破壞的活化體系,以及點蝕、微裂紋、縫隙等閉塞結構,低溫和低氧不利于金屬鈍化,使局部無膜區成為陽極,產生電偶腐蝕效應。而且,腐蝕介質可以與裸露的金屬基體直接接觸,因此加快了腐蝕溶解和H 的吸附和滲透,應力腐蝕敏感性可能增大。研究表明,氫化物的形成是鈦合金海水環境應力腐蝕機制中的重要組成部分,塑性變形、化學浸蝕、高溫條件下吸氫等都可以成為氫化物的來源[91]。在較高溫度下溶解在鈦合金晶格中的氫,在室溫及以下溫度時將析出硬脆的氫化物。低溫下H 在α-Ti 中的擴散緩慢,因此,相較于氫促進解理來說,氫化物的形成更加有優勢,加之深海高壓的作用使氫難以排出,也為氫化物的形成提供了有利條件。含氫量較低時氫化物主要分布在晶界,含氫量較高時晶粒內部也出現氫化物,并以慣析面析出,使材料的韌性降低[92]。在應力作用下,大量氫化物的相繼斷裂促進了應力腐蝕裂紋的擴展[93]。
4、結語
隨著鈦合金在深海工程和裝備上應用需求的不斷增長,我國鈦合金材料領域已得到長足的進步,但在應用中尚存在諸多亟待解決的問題,這包括材料成本高、材料體系不健全、缺乏設計評價標準。而制約深海鈦合金材料開發和應用的核心問題是基礎研究不足。通過總結可以發現,鈦合金在海洋環境中的耐蝕性優異,但在特殊環境中仍能表現出應力腐蝕敏感性。鈦合金自身合金成分、相組成、結構類型等材料因素,焊接、熱處理等加工過程,以及服役環境和工況條件都是影響其應力腐蝕開裂行為和機制的重要方面。因此,未來鈦合金深海環境應力腐蝕研究方向應包含以下幾個方面:(1)對合金元素和雜質元素含量以及組織構成比例等對鈦合金應力腐蝕性能的影響進行量化描述,有助于準確評估鈦合金的深海環境失效風險,為優化鈦合金成分組織、提高抗應力腐蝕性能提供支撐。(2)隨著鈦合金結構向著大型化和復雜化方向發展,其在動鈦合金深海裝備新海環境中宏觀生物較少,微生物則可能成為影響鈦合金抗應力腐蝕性能的主要生物因素,特別是微生物新陳代謝誘導H 的生成和滲透,可能加速鈦合金的氫致開裂。但是由于微生物活動的復雜性,生物膜內SRB 與金屬表面的相互作用缺乏深入的研究,其誘導腐蝕機理和腐蝕過程尚不清楚。因此,包括鈦合金在內的深海合金材料的應力腐蝕開裂與深海微生物的相關性也是今后需解決的關鍵問題。
