利用DIL 805 A/D熱模擬相變儀在950~1100℃、應變速率0.001~10s-1、變形程度為50%的條件下對TC25鈦合金進行熱變形研究。根據試驗數據繪制了TC25鈦合金的真應力——真應變曲線,并對高應變速率條件下的變形溫度進行修正,建立了TC25鈦合金變形溫度未修正和修正后的熱加工圖。結果表明:TC25鈦合金在950~1100℃范圍內變形的流變應力隨著變形溫度升高和應變速率降低而減小;高應變速率條件下,絕熱效應導致溫升更加顯著;在相同應變速率條件下,變形溫度越低,絕熱升溫現象更加明顯;修正變形溫度后的熱加工圖中流變安全區比未修正前的范圍要大。
1.序 言
TC25合金是20世紀70年代初期蘇聯研制成功的典型α+β型馬氏體熱強鈦合金,名義成分為:Ti-6.5Al-2Zr-2Sn-2Mo-1W-0.2Si。TC25鈦合金能在500~550℃內長時間工作,是航空發動機壓氣機盤、機匣等結構的理想材料之一。在合適的鍛造變形條件和熱處理制度下可以獲得理想的綜合力學性能。
熱加工圖是用于研究金屬高溫變形行為的有效方法,能反映金屬在高溫狀態下變形過程中組織演化與變形參數之間的關系。同時,還能反映金屬在塑性加工過程中的安全區域和危險區域。但是在熱變形過程中,變形可能會引起試樣溫度的變化,從而使合金流變應力發生變化,不能獲得準確的本構方程和熱加工圖,因此需要對變形溫度進行修正。利用合金的熱加工圖,可以優化合金的熱加工參數,從而對改善合金的加工性能、調控顯微組織、避免缺陷的產生均具有重要的指導意義,目前已廣泛應用于鈦合金、鋁合金和鋼鐵材料的熱加工生產指導中。
本文以TC25鈦合金為研究對象,對其進行高溫熱壓縮試驗,通過試驗數據繪制真應力-真應變曲線,研究其熱變形行為,并對高應變速率條件下的變形溫度進行修正,建立了該合金在變形溫度未修正和修正后的熱加工圖,以期為TC25合金的熱加工工藝優化提供理論依據和指導。
2.試驗材料與方法
試驗所用材料為某企業提供的直徑25mm的TC25鈦合金棒材,通過膨脹法測量得到合金的相變點為1029℃±5℃。圖1所示為TC25鈦合金試樣的原始組織,呈典型的雙態組織,白色等軸狀的α相均勻地分布在β轉變組織上。通過電火花線切割方式從合金棒材上切取φ5mm×10mm的熱模擬試樣若干,并用金相砂紙將表面磨至光亮。然后在德國巴赫的DIL 805 A/D 高溫相變/熱模擬儀上進行熱模擬壓縮試驗,儀器的控溫精度±0.1℃。試驗變形溫度為950℃、980℃、1010℃、1040℃、1070℃、1100℃,應變速率為0.001s-1、0.01s-1、0.1s-1、1s-1和10s-1,變形量為50%。具體加熱方式如下:以加熱速率為300℃/min將試樣加熱至變形溫度,保溫6min后進行變形,變形后以冷卻速率為150℃/s冷至室溫。為減少試樣兩端的摩擦影響,在試樣兩端墊上鉭片。試樣溫度由焊接在樣品上的熱電偶實時反饋給計算機。

圖1 TC25合金的原始組織
3.結果與討論
3.1真應力-真應變曲線
圖2所示為TC25鈦合金在950℃、1010℃、1070℃時不同應變速率條件下的真應力-真應變曲線。由圖2可以看出,在變形溫度恒定的條件下,合金的流變應力隨著應變速率的增加而顯著增大。在相同應變速率條件下,隨著合金變形溫度的升高,合金的流變應力逐漸降低。所有試樣在變形初期,合金的流變應力隨應變量的增加而迅速上升,呈近似垂直直線關系,這主要由于位錯密度的快速增加所致。但隨著合金形變量的增大,不同條件下的真應力-真應變曲線的變化趨勢不盡相同。當變形溫度為950~1010℃、應變速率為0.001s-1時,合金的流變應力隨著應變量增大而緩慢上升,未出現流變應力峰值,呈穩態流變特征;應變速率在0.01~1s-1的條件下,隨著應變量的增加,流變應力迅速增加到峰值后出現突降,再緩慢上升,最終達到穩態流變階段。有研究表明,在該過程中發生了動態回復、動態再結晶。當應變速率為10s-1時,隨應變量增加,流變應力先快速上升,然后再緩慢增加,在真應變量為0.3左右時達到峰值后開始降低,研究表明該現象歸因于變形熱效率、動態再結晶和超塑性等。

圖2 TC25鈦合金在不同變形溫度下的真應力-真應變曲線
3.2高應變速率下的絕熱升溫現象
圖3所示為TC25鈦合金在變形溫度為950℃和1100℃、應變速率為0.001s-1和10s-1時,真應力、真應變和試樣實際溫度之間的關系。從圖3可以看出,當合金在應變速率為0.001s-1時,試樣實際溫度與預設變形溫度基本相同,說明在變形過程中,試樣的溫度幾乎沒有發生變化,合金的流變應力也基本保持不變,壓縮過程在等溫條件下完成。這意味著合金在應變速率較低的情況下,變形所產生的溫度散失到壓頭或周圍環境中,沒有使試樣的溫度上升。而當應變速率為10s-1時,試樣實際溫度隨著應變量增大而明顯上升,圖中虛線所示。這是因為TC25合金在高應變速率下進行變形,變形時間短,變形產生的大量熱量來不及散失,導致試樣溫度明顯升高,最后使合金的流變應力下降。

a)950℃

b)1100℃
圖3 TC25合金在不同溫度下真應變、真應力和實際測量溫度之間的關系曲線
從圖3還可以看出,當合金在950℃變形時,試樣變形導致的升溫最高約為28℃;而1100℃時,試樣的變形導致的升溫最高約為10.5℃,并且合金在變形溫度為950℃的流變應力下降速率明顯高于1100℃時的速率,與試樣實際溫度升高速率之間有著良好對應關系。這說明合金在相同應變速率條件下,變形溫度越低,絕熱升溫現象越明顯。因此,在高應變速率條件下,TC25鈦合金等溫壓縮形變產生的變形升溫現象對真應力-真應變曲線影響較大,因此有必要對其變形溫度進行修正。
3.3 高應變速率下溫度修正及流變應力曲線
為了建立精準的TC25鈦合金的熱加工圖,對高應變速率條件下的溫度進行修正。在本試驗中,當應變速率較小時,絕熱升溫現象不明顯,因此只對高應變速率條件下(10s-1)的變形溫度進行修正。修正時,假定試樣在變形過程中升溫是均勻的,而且合金的比熱容c和密度ρ不隨溫度變化,由文獻可知,試樣的變形升溫ΔT可用式(1)表示,即

式中 ΔT——變形升溫(℃);
ε——應變量;
σ——流變應力(MPa);
η——絕熱因子;
ρ——合金的密度(kg/cm3);
c——比熱容[J/(kg﹒K)]。
由文獻可知,應變速率為10s-1時,絕熱因子η=1。
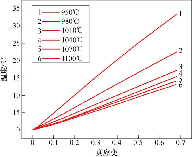
根據式(1),可以計算出TC25鈦合金在應變速率10s-1條件下,不同預設變形溫度時的絕熱升溫與真應變量之間的關系圖,如圖4所示。由圖4可以看出,各預設變形溫度下的變形導致的溫度升高規律基本相同,隨著變形量增加呈線性升高,并且在相同應變量下,隨著預設變形溫度的降低,變形導致的溫升ΔT越大,變化趨勢與實際溫度監測的一致。變形溫升ΔT引起的流變應力下降,其應力下降幅度Δσ可用式(2)表示,即

式中 ?σ——應力下降幅度;
σ——試驗獲得的流變應力(MPa);
T——實際變形溫度(℃);
Tn——預設的變形溫度(℃)。

圖4 TC25合金在不同變形條件下的變形升溫效應
由式(2)可以得到經過溫度修正后高應變速率條件下的真應力-真應變曲線,如圖5所示。由圖可以看出,修正后的流變應力比未修正的明顯增大,而且變形溫度越低,修正后的流變應力增加也越明顯,這與前面的變形溫升ΔT的變化保持一致。在應變速率為10s-1條件下等溫壓縮,流變應力迅速增加,然后流變應力再緩慢增加,在應變量>0.3后流變應力才趨于平穩,達到穩態變形階段。

圖5 TC25鈦合金修正后的真應力-真應變曲線
3.4 熱加工圖
圖6a和圖6b所示分別為TC25鈦合金在真應變量為0.5時,未修正變形溫度和修正后的熱加工圖。由圖可以看出,熱加工圖由加工失穩區(陰影部分)和加工安全區構成。隨著變形過程中應變速率的增加,功率耗散系數有下降趨勢。加工安全區的功率耗散系數值η值>30%,功率耗散系數值較大的區域集中在變形溫度為1000~1100℃、應變速率為0.001~0.01s-1區域。由圖6b可以看出,修正變形溫度后的熱加工圖中流變失穩區比未修正的減小了很多,可以表明變形過程中的絕熱升溫效應對熱加工圖的影響較大。對于傳熱系數較小的鈦合金來說,要獲得準確的等溫、恒應變速率下的熱加工圖,就必須對變形溫度進行修正,這對工藝參數優化更有指導意義。

a)修正變形溫度

b)未修正變形溫度
圖6 TC25鈦合金在應變量為0.5時的加工圖
4.結束語
1)TC25鈦合金在高溫熱壓縮過程中,流變應力隨著變形溫度升高和應變速率下降而減小。
2)TC25鈦合金在高應變速率條件下變形時,絕熱效應導致溫升更加顯著。在變形速率恒定條件下,變形溫度越低,絕熱升溫現象越明顯。
3)TC25鈦合金的最佳高溫變形工藝參數:變形溫度為1000~1100℃、應變速率為0.001~0.01s-1。
本文發表于《金屬加工(熱加工)》2021年第11期第69~72頁,作者:貴州工業職業技術學院化學工程系 廣州汽車集團股份有限公司汽車工程研究院,朱紅 蔡鋼


