采用室溫電化學充氫方法對航天器用 TC4 鈦合金式樣充氫,通過對充氫式樣進行 XRD 分析,探究了不同氫含量對鈦合金結構的影響,分析了不同氫含量的合金組織結構變化及分布情況。采用慢變速率拉伸、200h 持久加載及逐級加載等力學實驗,對不同氫含量的 TC4 合金的氫脆敏感性進行了表征,發現逐級加載不僅能提供氫脆敏感性的定性結論,同時給出不同氫含量合金試樣的承載載荷定量數據。

充氫工藝及對應氫含量

TC4 鈦合金持久加載設定載荷

TC4 不同氫含量下表面結構的 XRD 圖譜

含氫 TC4 不同深度處結構的 XRD 圖譜(a-d 氫含量依次為:0.0125%,0.025%,0.05%,0.1%)

標稱0.1%充氫樣品不同區域SEM 照片(a:低倍率,b:表面區域,c:過渡區域,d:芯部區域)

TC4 合金準靜態拉伸力學性能

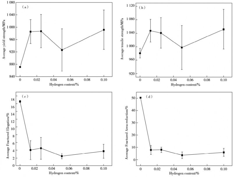
慢拉伸力學性能隨氫含量的變化關系(a:屈服強度、b:抗拉強度、c:斷后伸長率和 d:斷面收縮率)

TC4 合金斷口形貌

不同標稱氫含量的 TC4 合金逐級加載實驗斷裂強度(1# ~4# 試樣每個階梯加載時間分別為1h,2h,3h 和 4h)


